Menggunakan jamovi
2026-04-25
Marimar adalah seorang wali murid di sebuah PAUD di Kota Surabaya. Pada suatu hari, ia mengamati seorang anak (dan orangtua) yang perilakunya menarik perhatiannya.
Ibu anak tersebut bersikeras untuk menunggui anaknya di sekolah, padahal guru kelas meminta agar Ibu pulang saja, mempercayakan anak pada guru, dengan tujuan melatih kemandirian anaknya.
Melihat ibunya yang menggerutu karena diminta bu Guru pulang, si anak menangis meraung-raung tidak mau ditinggalkan. Akhirnya, terpaksa bu Guru membiarkan si Ibu menunggu di sekolah.
Marimar heran sekaligus penasaran, mengapa tiap anak memberikan respon yang berbeda ketika ditinggal orangtuanya di sekolah. Ada yang menangis meraung-raung, ada yang lebih santai dengan langsung bermain. Apakah ada kaitan antara kemandirian anak dengan karakteristik orangtuanya?

H1 — Neuroticism ibu (neu) → Kemandirian anak (mandiri): negatif
H2 — Trust in organismic development (trust) → Kemandirian anak (mandiri): positif
H3 — Household income (hi) → Kemandirian anak (mandiri): negatif


Scatterplot 1. Neuroticism dan Kemandirian

Scatterplot 2. Trust dan Kemandirian
Bagaimana kekuatan dan arah hubungan pada scatterplot 1 dan 2?
Korelasi yang tampak pada scatterplot tadi dapat dikonseptualisasikan dengan lebih jelas dengan menghitung koefisien korelasi, yang mengimplikasikan kekuatan hubungan.


Marimar ingin tahu apakah ada kaitan antara kecenderungan neuroticism ibu terhadap kemandirian anak.


Statistical grand prize 🎁🎁🎁
Hampir semua teknik statistik intinya adalah membandingkan varians variabel outcome yang dapat dengan yang tidak dapat dijelaskan (residual) oleh model
Tips
Selalu laporkan unstandardized estimates dan confidence interval (Appelbaum et al., 2018).





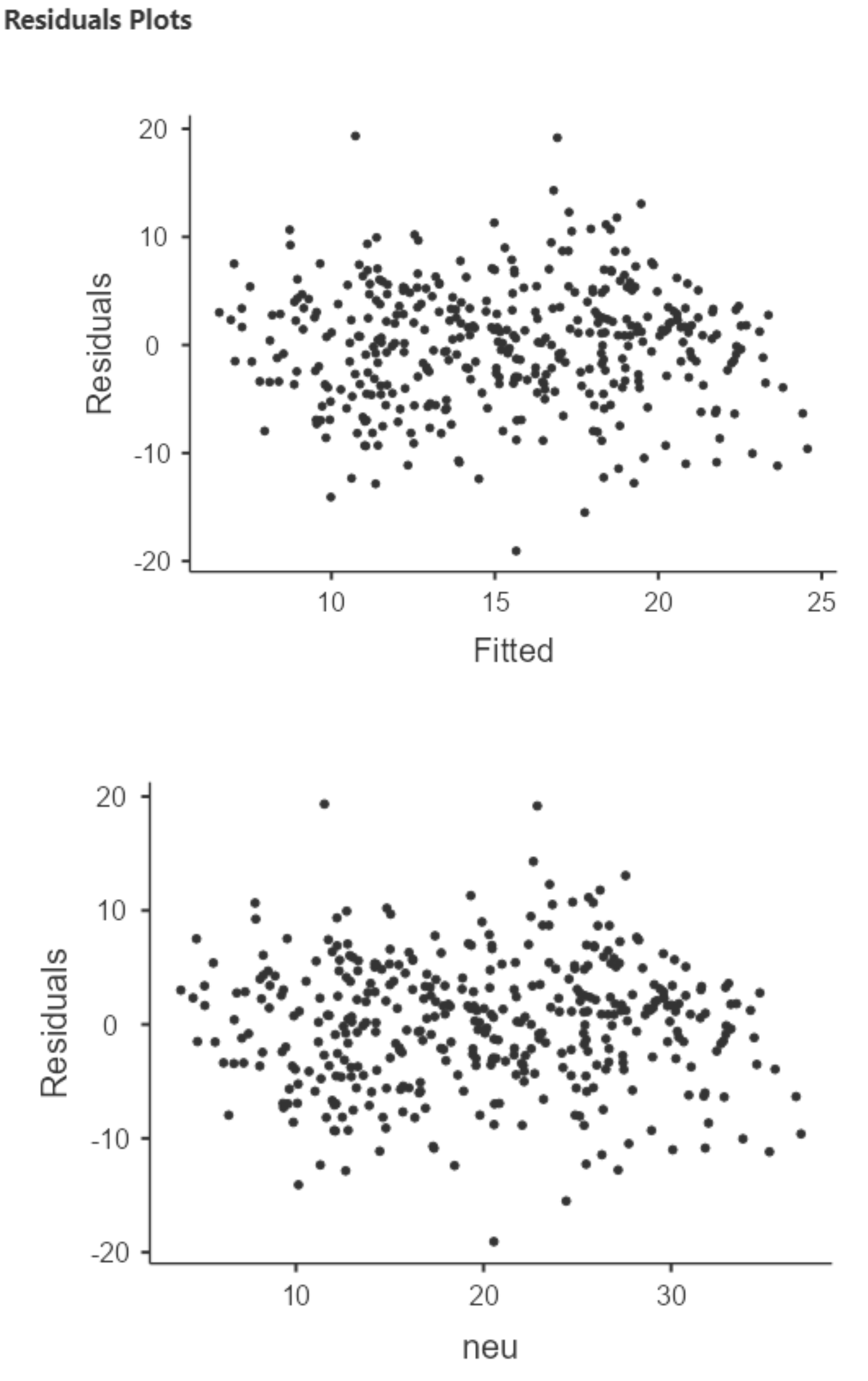
Untuk menguji hipotesis penelitian, peneliti melakukan analisis regresi ordinary least square (OLS). Hasil analisis menunjukkan bahwa model cocok menggambarkan data dan mampu menjelaskan kurang dari 40% varians tingkat kemandirian siswa (F(1,398) = 221, p = .001, R2 = .357). Kecenderungan neuroticism ibu berkontribusi berarti dalam menjelaskan varians tingkat kemandirian siswa, dimana perubahan kecenderungan neuroticism sebesar 1 poin diasosiasikan dengan perubahan tingkat kemandirian anak sebesar 0.544 (B = 0.544 95% CI [0.472, 0.616], SE = 0.036, t = 14.88, p = .001). Berbeda dengan yang dihipotesiskan sebelumnya, ibu dengan tingkat neuroticism yang tinggi justru mengasuh anak dengan tingkat kemandirian yang juga tinggi. Setelah dilakukan diagnostik, varians yang tidak dapat dijelaskan oleh model berdistribusi normal dan ketika dikorelasikan dengan nilai prediktif tingkat kemandirian siswa dan kecenderungan neuroticism ibu, maka menghasilkan varians yang homogen (homoskedastik).
Diagnostik outlier dilakukan dengan menggunakan Cook’s distance, dan menghasilkan kesimpulan bahwa apabila outlier tidak disertakan dalam model, maka perubahan rerata, nilai tengah, dan simpangan baku kurang dari satu dari nilai awalnya, sehingga tidak berpotensi mendistorsi garis regresi.
Note